Enterprisearkitektur har mange kan bruges til at skabe ledelsesinformation til mellemlederne I de forskellige grene af organisationen. Ledelsesinformation er nødvendigt i forhold til at kunne gøre sig indtryk af, hvilke problemstillinger som organisationen står overfor. Korrektvisende ledelsesinformation er nødvendig for at mellemledelsen og topledelsen kan høste gevinsterne ved informeret ledelse.

Tillid, samarbejde og dynamik er nøgleordene der beskriver denne tilgangsvinkel til enterprisearkitektur.
Ledelsesinformation
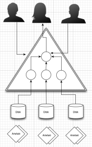
Enterprisearkitektur kan bruges til at skabe et overblik over den situation, som organisationen befinder sig. Det kan gøres ved at enterprisearkitektur funktionen arbejder med en række forskellige initiativer for at finde frem til, hvordan den nuværende situation egentlig er. Det kræver ligeledes at enterprisearkitekterne har mulighed for at kunne trække på eksperternes viden og egenskaber for at kunne afprøve om de antagelser der skabes i den samtid som artefakterne skabes. Artefakterne bør eksponeres således der er flere interessenter der ellers ikke ville have haft mulighed for kunne analysere og kommenterer artefakterne ellers ikke ville kunne gøre det. På denne måde kan de forskellige artefakter blive valideret og på den måde bliver ledelsesinformationen valideret. Ledelsesinformation er ligeledes en meget vidt begreb, og derfor vil det i de fleste organisationer være forskellige typer data fra de forskellige grene af organisationen. Ligeledes har de forskellige typer information forskellig betydning for mellemlederne i organisationen.
Fremstilling af ledelsesinformation
Ledelsesinformation er sjældent svært at producere meget af, og den sværeste disciplin i forløbet er at begrænse den information der bliver produceret. Begrænsning i den forstand at for meget information vil give beslutningstagerne et betydeligt ringere grundlag at træffe deres beslutninger på. Udvælgelsen af information bør naturligvis ske på en måde der understøtter henholdsvis et behov i det individer og grupper i organisationen efterspørger informationen og at informationen bruges aktivt.
Det kræver at enterprisearkitektur funktionen anvende et enterprisearkitektur rammeværk der understøtter en tilgang, hvor enterprisearkitektur funktionens formål ikke bliver at dokumentere alle detaljer af organisationens enterprisearkitektur, det man i Doucet et al (2009) kalder for enterprise-arkæologi, men i stedet fokuserer på at leverer modeller, det vil sige en kombination af artefakter, der kan give de forskellige beslutningstagere mulighed for at kunne træffe beslutninger. Det kræver at chefarkitekten træffer et aktivt valg, hvor han tager sit udgangspunkt i en gældende filosofi der fokuserer på skabelse af ledelsesinformation der er baseret på efterspørgsel. Det der ville blive kaldt ”prelim” rammeværket TOGAF. Et eksempel på sådan en filosofi ville være rammeværket kendt som ”Dynamic Architecture”, somBerg et al (2005) fik udarbejdet.
Udbredelse og anvendelse af ledelsesinformation
Ledelsesinformation skabes ved at den information der indsamles kobles op på artefakter. Artefakterne kan sættes sammen i modeller og på den måde udstille de forskellige lag af information på forskellig vis. Modellerne skal dog være tilgængelige for de forskellige grupper i organisationen, således den rette validering og feedback kan finde sted.
Platform
Der findes mange muligheder for at udbrede viden om de forskellige modeller og de forskellige artefakter.
- Præsentationer.
- Workshops.
- Elektroniske platforme så som en dedikeret server med webadgang eller statiske modeller på organisationens intranet.
Punkt tre giver organisationen nogle interessante problemstillinger og samtidigt muligheder. Den første og primære mulighed er arbejdet med at eksponerer modellerne kan betyde at der er visse informationer der er følsomt og som ikke bør være tilgængeligt for alle.
Den anden problemstilling vil være at skabe mulighed for opdatering af modellerne igennem dynamiske hjemmesider. Dynamiske hjemmesider giver mulighed for at dele af modellen bliver opdateret, men det stiller ligeledes større krav til informationsledelse og at der bliver allokeret ansvar.
Konklusion
Der findes forskellige problemstillinger der bør tages i betragtning, når en organisation går i gang med udarbejdelse af ledelsesinformation. Det samme gælder arbejdet med arbejdet med filosofien bag hvordan ledelsesinformationen bør behandles.
I den forbindelse findes der en række hensyn der bør tages. For eksempel så skal ledelses information deles blandt flere interessenter, og det kræver en del ressourcer at kommunikere ud at informationerne findes. Et eksempel herpå er at der skal bruges ressourcer på afholdelse af workshops, der skal bruges ressourcer på skrive om hvor de opdaterede informationer kan findes, og der skal bruges tid på at tage imod feedback, da der med en hvis sandsynlighed vil være situationer, hvor beslutningstagerne eller nogle af de interessenter der har været med til at identificere de forskellige artefakter kommer med nye input. Der bør med andre ord træffes beslutninger om enterprisearkitektens rolle således rollen ikke ender med at blive en form for bibliotekar.